Ball one is dropped from a high place at the same moment that ball two is launched from ground level. The balls hit the ground 3 s later. A) how far did ball one fall? B) What was th initial velociety of ball 2? c) To what height did ball two rise?e D) SKETCH
 Ball 1
vo = 0
a = -9.8 m/s^2
t = 3s

Ball 2
t = 3s

a = -9.8 m/s/s

  How far did ball one fall?
answer is negative (consistent with sign convention).

 

 In 3s, we are told that ball two rises, stops and returrns to the thrower's hand. x = 0.  
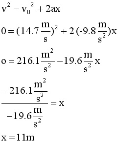
 To what height did ball two rise?
Note: Vo cannot be zero; if that were the case it would never leave the thrower's hand.

Let v = 0 

 Always sketch position vs time graph first

 

 Note that the slopes are parallel and therefore equal.

Note that at 1.5 s, ball 2 is stopped (reached highest point) but acceleration is not zero.

 
Note that in velocity v time graphs,  slopes are both -9.8

 
   
   This page created 08/23/06