3. A ball is tossed upward at 25 m/s. It is subsequently caught at the same level as that from which it was projected. a) How long was it airborne? To what height did it rise?

 Isolate the givens

a)

v0 = 25 m/s
x = 0
a = -9.8 m/s^2

Find t

   this equation shows that the ball is at x = 0 twice--at the begining when t = 0 and 5.2 s later.

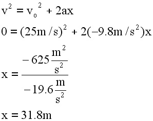
 b)

v0 = 25 m/s
v = 0
a = g = -9.8m/s^2

Find x

 
 Note that these are separate trips and require separate tables of data