Let's look at a situation wherein a block of mass M is moving with speed V on a horizontal plane. Now the block encounters a plane inclined a some angle and extending up and to the right. Let's determine a) how far up the plane does the block slide? and b) how long does it take to come to rest?
Analysis
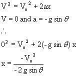
We know that Vo = V and that the final velocity V = 0. We could answer the questions if we knew the acceleration of the block on the incline.
In the Y direction
N = M g cos q
In the x-direction
-M g sin q = Fnet = Ma
-g sin q = M a
a = - g sin q
Therefore. From the equation page 1, line 4
Let's look at a situation wherein a block of mass M is moving
with speed V on a horizontal plane. Now the block encounters a
plane inclined a some angle and extending up and to the right.
Let's determine how far up the plane does the block slide.
Analysis
We know that Vo = V and that the final velocity V = 0. We could answer the question if we knew the acceleration of the block on the incline.
In the Y direction
N = M g cos q
In the x-direction
-M g sin q = Fnet = Ma
- M g sin q = M a
a = - g sin q
Therefore. From the equation page 1, line 4

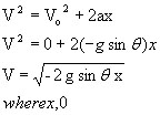
With no friction to hold it in place, the block now slides down the plane. With what speed does it reach the bottom?
Analysis
The acceleration of the block as it moves down the plane is the same as it was when it moved up the plane.
a = - g sin q.
Because the block starts from rest, Vo = 0. It travels down the plane the same distance, x, as it did moving up the plane.
Therefore

ZPage last revised 12/13/06